Modified starch is natural starch whose properties and internal structure have been altered through physical, enzymatic, or chemical processing. Modified starch is used as a thickening agent, stabilizer, emulsifier, and binder in the food, paper, and other industries.
Modified Starch is a product distributed by Global Trading Bridge Co.,Ltd . Utilizing readily available domestic cassava (tapioca) tubers, combined with a modern, closed-loop production line.
Modified tapioca starch powder from cassava root in Vietnam
As we know, modified starch is starch of plant origin such as wheat, potato, corn, cassava, and other starches whose internal structure has been altered through various physical and chemical methods.
Currently, factories and facilities primarily use modified starch derived from cassava (tapioca) in food, paper, textile, and other industries for the following reasons:
100% Non-GMO (Non-Genetically Modified Organism ) means that the cassava tubers are not genetically modified or hybridized with another plant. Unlike corn or potatoes, which are often genetically modified or hybridized to create varieties with high growth potential and high yields, modified flour made from these genetically modified plants is not as healthy.
Raw cassava (tapioca) is readily available domestically , and Vietnam is one of the largest cassava-producing countries, ensuring sufficient supply for domestic factories and exports.
Low cost: Modified starch derived from cassava will be cheaper due to the extremely low cost of the raw material.
It has equivalent quality or standards when used in production compared to other modified starches from corn, sweet potatoes, wheat, etc.
GMO – Biến đổi gen sẽ ảnh hưởng đến tinh bột và bột biến tính trong thực phẩm
Modified starch packaging specifications
– Product Markings: Modified Starch, or a symbol beginning with the letter "E" or "INS".
– Used in food: Stabilizer, Thickener, Emulsifier
– International Name: Modified Starch
– Packaging Specifications: 25kg/bag
– Bag type: PP/PE or paper bag
– Price: Contact 0905 125 932 (Mr.Kaiden)
Currently, modified starch is produced mainly by three main methods:
- Physical modification method
- Chemical modification method
- Enzymatic denaturation method
The main types of starches currently used in Vietnam, according to Circular No. 27/2012/TT-BYT guiding the management of food additives, are designated as follows: E1400, E1401, E1402, E1403, E1404, E1405, E1410, E1411, E1412, E1413, E1414, E1420, E1421, E1422, E1423, E1440, E1442, E1450, E1451. Specifically:
Dextrin (INS 1400): Produced by processing starch with hydrochloric acid.
Alkaline-modified starch (INS 1402): Starch treated with sodium hydroxide or potassium hydroxide
Bleached starch (INS 1403): Starch treated with hydrogen peroxide. Oxidized starch (INS 1404, E1404): Starch reacted with sodium hypochlorite.
Enzyme-treated starch (INS 1405)
Monostarch phosphate (INS 1410, E1410)
Distarch phosphate (INS 1412, E1412): Starch esterified with sodium trimetaphosphate
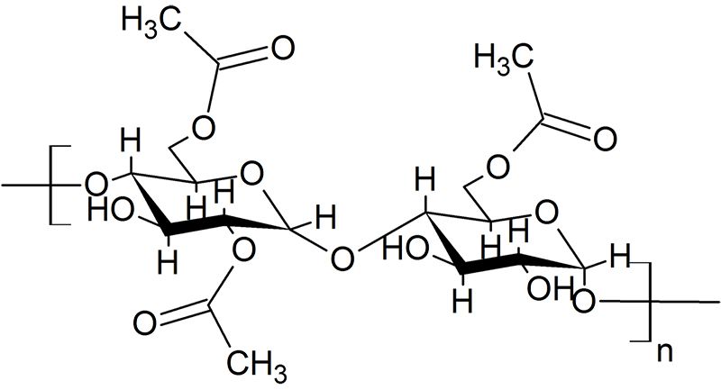
Acetylated starch (INS 1420, E1420): Starch esterified with acetic anhydride
Hydroxypropylated starch (INS 1440, E1440): Starch ether with propylene oxide
Starch sodium octenyl succinate (OSA) starch (INS 1450, E1450)
Starch aluminum octenyl Succinate (INS 1452, E1452)
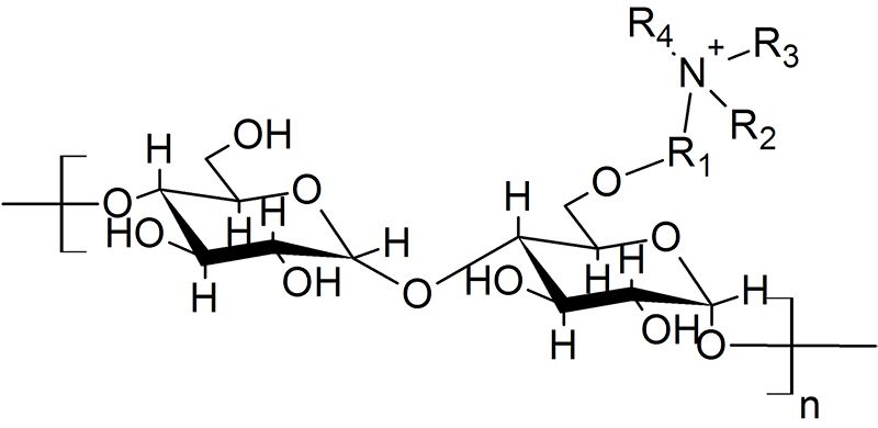
Cationic starch
Carboxymethylated starch
Crystal structure of starch acetate
And double modified starches such as:
Phosphated distarch phosphate (INS 1413, E1413)
Acetylated distarch phosphate (INS 1414, E1414)
Acetylated distarch adipate (INS 1422, E1422),
Hydroxypropyl distarch phosphate (INS 1442, E1442),
Acetylated oxidized starch (INS 1451, E1451)
Alpha Starch, Pregelatinized Starch ( α-Starch): This is a type of physically modified starch that is soluble in water at room temperature.
Cationic starch crystal structure
Note: The INS ( International Numbering System for Food Additives ) is the international numbering system for food additives. Depending on the specific regulations of each country, it may be replaced by the prefix E.
Depending on the characteristics of each type of modified starch, each product type, or each factory's specific formula, different types of modified starch are used accordingly.
At Global Trade Bridge Co., Ltd., quality is not an option, but our responsibility. We are committed to providing premium modified cassava starch with consistent performance and strict quality control. Our goal is to support our customers with stable products and long-term cooperation based on trust and reliability.
Secure Your Supply with Confidence
We support buyers with stable sourcing by working closely with local partners and managing controlled processing systems to ensure consistent supply.
Contact Us









